/images/s.png)
国务院定调,57万亿基建狂潮来袭!
发布时间:2025-09-29
8月18日,国务院总理李强主持召开国务院第九次全体会议。会上,李强指出:
要抓住关键着力点做强国内大循环,以国内大循环的内在稳定性和长期成长性对冲国际循环的不确定性。
加力扩大有效投资,发挥重大工程引领带动作用,适应需求变化更多投资于人、服务于民生,积极促进民间投资。
纵深推进全国统一大市场建设,不断释放超大规模市场红利。
采取有力措施巩固房地产市场止跌回稳态势,结合城市更新推进城中村和危旧房改造,多管齐下释放改善性需求。
值得注意的是,会议明确将基建投资作为“做强国内大循环”的重要着力点之一,特别提出要“结合城市更新稳步推进城中村改造”。这一政策导向与国家发改委、交通运输部等近期出台的一系列基建支持措施形成协同。
57万亿投资计划:24省市按下基建加速键
重大项目是经济发展的重要支点,也是高质量发展的关键抓手。经建筑时报统计,截至目前,全国已有24个地区发布2025年重点工程项目相关投资计划,重点项目合计超1.9万个,总投资额合计达57.5万亿元。

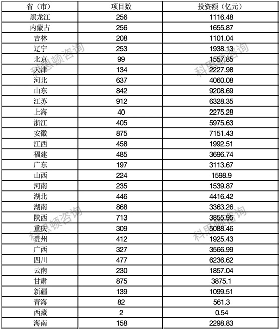
北京
经北京市委常委会审议通过,2025年“3个100”市重点工程计划发布。2025年北京将集中推进100个重大科技创新及现代化产业项目、100个重大基础设施项目和100个重大民生改善项目,以重大项目带动扩大有效投资,总投资约1.4万亿元,当年计划完成投资支撑全市投资三成以上。
上海
上海市发展和改革委员会公布2025年上海市重大工程清单。2025年上海市重大工程计划安排正式项目186项,其中科技产业类66项,社会民生类27项,生态文明建设类15项,城市基础设施类65项,城乡融合与乡村振兴类13项;另计划安排预备项目35项。全年安排市重大工程投资计划2400亿元,全力推动重大项目建设增速提效。
天津
天津市发展改革委发布2025年重点建设、重点储备项目安排意见,共计1129个项目、总投资2.02万亿元。其中,包括重点建设项目854个,总投资1.52万亿元,年度计划投资2209.07亿元,均为在建续建或即将开工项目;重点储备项目275个,总投资4992.26亿元。
重庆
据重庆市发展改革委消息,2025年重庆计划实施“四个一批”市级重点项目共1568个,总投资约4.4万亿元,年度计划投资4800亿元,同比增长5.8%,这些项目围绕“六区一高地”任务部署,涵盖制造业、科技创新、基础设施、社会民生等19个行业领域。在打造西部地区高质量发展先行区方面,重庆将实施项目415个。
江苏
江苏省发改委印发2025年省重大项目清单,2025年拟安排省重大实施项目500个、同比增加50个,年度计划投资6526亿元、同比增加118亿元,储备项目100个、同比增加40个。其中,苏州、无锡、南通、常州四市实施项目超过40个,盐城、无锡、南京三市年度投资达到400亿元左右。
浙江
浙江省发改委印发扩大有效投资“干项万亿”工程2025年重大建设项目实施计划项目表,第一批重大项目1364个,总投资额达7.5万亿元,年度计划投资1.15万亿元。
项目呈现“大、优、高”三个特点。一是规模“大”,第一批项目数比2024年增长23.9%、总投资增长9.2%、年度计划投资增长11.5%,其中100亿元以上大项目基础设施项目71个、50亿元以上产业项目101个;二是结构“优”,产业项目占比56.8%,其中,先进制造业项目426个,民生项目占比10.5%;三是质量“高”,新质生产力项目占比29%。
安徽
安徽省人民政府印发安徽省2025年重点项目清单,项目共计1581个。安徽省人民政府表示,各地、各部门要把扩大有效投资作为关键之举,聚焦新兴产业、重大基础设施、服务业、社会民生等领域,推动重点项目建设提速提质提效。此外,今年第一批安徽省重点项目总投资3.5万亿元,年度计划投资5994.3亿元。
陕西
2025年陕西省安排省级重点项目616个、总投资28762亿元、年度计划投资4917亿元,其中产业类项目总投资12328亿元、占全部项目总投资的43%,基础设施类项目总投资7766亿元、占全部项目总投资的27%,民生保障类项目总投资8668亿元、占全部项目总投资的30%。
山西
山西省人民政府办公厅印发2025年省级重点工程建设项目名单,包括611个省级重点工程项目。其中,产业转型类项目277项,能源革命类项目65项,科教人才类项目57项,基础设施类项目121项,社会民生类项目91项。
此外,《山西省2025重大项目建设年行动方案》提出,省级重点工程完成投资3687亿元以上,占固定资产投资比重达到40%以上。
山东
山东省人民政府印发《关于下达2024年省重大项目名单的通知》,清单共包含项目2000个,其中省重大项目600个、省绿色低碳高质量发展重点项目1400个,项目年度计划投资1万亿元。省级重点项目主要涵盖重大产业、基础设施、民生保障三个类别。
四川
四川省发展改革委发布《2025年四川省重点项目名单》,共列项目810个、2025年预计完成投资7916.5亿元。其中,续建项目532个,新开工项目278个。从行业领域看,基础设施项目280个、产业项目445个、民生及社会事业项目61个、生态建设及环境保护项目24个。
辽宁
2025年辽宁省重点项目共350个,总投资超1.4万亿元,年度计划投资超2100亿元。今年初,辽宁省研究确定了2025年省重点项目和央地合作省级重点项目清单。一季度,辽宁省重点项目开复工216个,开复工率超70%,完成投资超450亿元。央地合作省级重点项目开复工155个,开复工率71%,完成投资248亿元。
湖北
从湖北省发展改革委获悉,首批湖北2025年省级重点项目首批清单已出炉。今年,湖北省首批省级重点项目960个、总投资39877.8亿元。
重点项目清单围绕投资扩量提质行动,谋深谋实一批具有牵引性、标志性项目。今年,超百亿的项目数量较去年首批增加10个,其中,500亿元以上项目9个,总投资7745亿元;100亿元至500亿元项目84个,总投资13439亿元。
湖南
湖南省发改委公布2025年省重点建设项目、省重点前期工作项目名单。其中,省重点建设项目289个,省重点前期工作项目51个。
在126个重点基础设施项目中,包括铁路、高速公路、机场、水运在内的交通网络体系建设的有52个。
产业发展项目突出强基础,聚焦升链、延链、补链、强链,推动“4×4”现代化产业体系构建。
江西
江西省发展改革委发布关于下达2025年第一批省重点建设项目计划的通知。根据通知,2025年第一批江西省重点建设项目安排544项,总投资14735亿元,年度计划投资3857亿元。项目分为建成投产、续建、新开工及预备四类,涵盖基础设施、产业升级、公共服务等多个领域。
云南
云南省发展改革委发布《云南省2025年度省级重大项目清单》和《云南省2025年度“重中之重”项目清单》。省级重大项目1775个,总投资29222.75亿元,年度计划投资3972.62亿元,项目数量、总投资较去年分别增长7.6%、6.6%。
清单涵盖能源工业、能源以外工业、农业、数字经济等产业类项目955个,基础设施类项目820个,涉及城市基础设施、水利、交通、社会事业、生态环保、口岸基础设施等领域。
河南
河南省发展改革委印发2025年河南省重点建设项目名单,明确2025年省重点项目1037个、总投资约3.1万亿元,力争年度完成投资1万亿元左右。项目涵盖创新驱动能力提升、基础设施建设、新型基础设施建设、产业转型发展、绿色低碳转型、民生社会事业改善等六大领域。
河北
河北省发展和改革委员会印发河北省2025年省重点建设项目名单,项目共计703项,总投资1.5万亿元,涵盖战略性新兴产业、传统产业升级改造、农业产业化、现代服务业、基础设施和社会事业等领域,助力畅通“大动脉”、建强产业链、做优生活圈。
福建
福建省发展和改革委员会印发2025年度省重点项目名单,确定2025年度省重点项目1550个,总投资4.3万亿元,年度计划投资7150亿元。其中,省在建重点项目1345个,省预备重点项目205个。
广东
广东省发展改革委发布《广东省2025年重点建设项目计划表》,共计2490个省重点项目。其中,重点建设项目1489个、重点建设前期预备项目1001个,分为基础设施工程、产业工程、民生保障工程三大类。省重点建设项目总投资约9.2万亿元、年度计划投资1万亿元。
海南
海南省发展改革委公布《海南省2025年重大项目投资计划》。2025年安排省重大正式项目554个,总投资8540亿元,年度计划投资1647亿元。其中,竣工项目121个、续建项目274个、新开工项目159个。此外,安排省级145个预备项目,总投资2485亿元。
宁夏
宁夏回族自治区发展改革委印发《2025年自治区本级重点项目投资计划》。今年,自治区本级重点项目以100个重点建设项目为投资增长的重要支撑,以52个重点预备开工项目为有力补充,以60个重点前期项目为稳固接续。其中,本级重点建设项目总投资3841亿元,年度计划投资680亿元,包含产业项目71个、基础设施项目16个、社会事业项目3个、民生改善工程10个。
新疆
从新疆维吾尔自治区发展改革委获悉,2025年,新疆计划实施重点项目500个,总投资3.47万亿元,年度计划完成投资4069亿元。今年自治区重点项目数量较2024年增加70个,年度计划投资增加560亿元以上。今年自治区重点项目牵引带动作用更凸显,投资结构更优化,项目总量和规模双双提升,总体数量、年度投资规模增幅为历年最高。
西藏
为全力推动重点项目建设,西藏自治区发展和改革委员会印发《2025年全区重点建设项目计划》。今年,西藏计划建设重点项目170个,计划完成总投资2030亿元,为全区经济社会发展注入强大动力。1至2月,全区重点项目建设开复工率达80.2%,完成投资129.1亿元,占一季度计划的48%。
民间资本参与空间扩大
根据国家发改委“全国向民间资本推介项目平台”统计,截至8月22日,全国已推介项目12122个,总投资10.28万亿元。
国家发改委相关负责人表示,2025年将在交通、能源、水利等领域推出3万亿元优质项目,支持民企通过特许经营、委托运营等模式参与。

基建投资助推经济高质量发展
该轮基建投资具有多重战略意义:
其一,基建投资有助于增强国内经济体系的稳定性和韧性,通过扩大有效投资应对国际环境中可能出现的不确定性,为经济平稳运行提供坚实支撑。
其二,伴随新基建、数字基建比重的不断提升,本轮投资将推动产业基础高级化与产业链现代化,加快形成新质生产力,为经济高质量发展注入新动能。
其三,重大基础设施项目在边疆和薄弱区域的加快布局,将有力促进区域协调发展和城乡融合,进一步优化国家发展格局,推动共同富裕迈出实质性步伐。
地址:荣成市邹泰南街298号
电话:0631-7588018
传真:0631-7588018
E-mail:rcjzjt@163.com
/images/map.jpg)
扫码关注官方微信